6430. Neamine

Nomenclature

CAS number: 3947-65-7
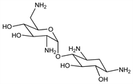
2-Deoxy-4-O-(2,6-diamino-2,6-dideoxy-α-d-glucopyranosyl)-d-streptamine; neomycin A.
C12H26N4O6; mol wt 322.36.
C 44.71%, H 8.13%, N 17.38%, O 29.78%.

Description and references

Component of the antibiotic complex neomycin, q.v. Isoln: Dutcher et al., J. Am. Chem. Soc. 73, 1384 (1951). Identity of neomycin A and neamine: Leach, Teeters, ibid. 74, 3187 (1952). Prepn from neomycin B: Peck et al., US 2691675 (1954 to Merck & Co.). Structure: Carter et al., J. Am. Chem. Soc. 83, 3723 (1961); Hichens, Rinehart, ibid. 85, 1547 (1963). Synthesis: Umezawa et al., J. Antibiot. 20A, 53 (1967); H. Kohno et al., Agric. Biol. Chem. 39, 1091 (1975); A. Harayama et al., Bull. Chem. Soc. Jpn. 52, 3626 (1979).

Chemical structure

Properties

Crystals from water or aq alc, dec 225-226°, [α]D25+112.8° (c = 1). IR spectrum: Leach, Teeters, J. Am. Chem. Soc. 73, 2794 (1951).

Derivative

Hydrochloride.
C12H26N4O6.4HCl; mol wt 468.20.
C 30.78%, H 6.46%, N 11.97%, O 20.50%, Cl 30.29%.

Properties

Amorphous, dec 250-260°, [α]D25+83° (c = 1).

Derivative

N-Acetyl deriv.
C12H26N4O6.(CH3CO)4; mol wt 494.54.
C 48.57%, H 7.74%, N 11.33%, O 32.35%.

Properties

Crystals from methanol, mp 334-336°. [α]D25 +87° (c = 1).