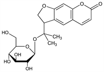
6668. Nodakenin

Nomenclature

CAS number: 495-31-8
2-[1-(β-d-Glucopyranosyloxy)-1-methylethyl]-2,3-dihydro-7H-furo[3,2-g][1]benzopyran-7-one; nodakenetin glucoside.
C20H24O9; mol wt 408.40.
C 58.82%, H 5.92%, O 35.26%.

Description and references

From root of Peucedanum decursivum Maxim., Umbelliferae: Arima, Bull. Chem. Soc. Jpn. 4, 16, 113 (1929); Sp"ath, Kainrath, Ber. 69, 2062 (1936). Structure: Sp"ath, Tyray, ibid. 72, 2089 (1939).

Chemical structure

Properties

Thin leaflets from alc, dec 218-219°. From dil alc or water it crystallizes with one mol H2O in form of yellow prisms, melting at 216°. [α]D30 +56.6°. Sol in hot water or alcohol.

Derivative

Tetraacetate.
C28H32O13; mol wt 576.55.
C 58.33%, H 5.59%, O 36.08%.

Properties

Crystals from methanol, mp 195-196°.