6693. Nordihydroguaiaretic Acid

Nomenclature

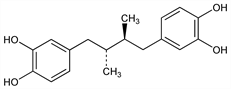
CAS number: 27686-84-6 (meso-form); 500-38-9 (unspecified stereo)
(R*,S*)-4,4′-(2,3-Dimethyl-1,4-butanediyl)bis[1,2-benzenediol]; meso-4,4′-(2,3-dimethyltetramethylene)dipyrocatechol; 2,3-bis(3,4-dihydroxybenzyl)butane; β,γ-dimethyl-α,δ-bis(3,4-dihydroxyphenyl)butane; NDGA; masoprocol; CHX-100; Actinex (Schwarz).
C18H22O4; mol wt 302.36.
C 71.50%, H 7.33%, O 21.17%.

Description and references

Lipoxygenase inhibitor; occurs as the meso-form in the resinous exudate of the creosote bush, Larrea divaricata, Zygophyllaceae (Covillea tridentata). Isoln: C. W. Waller, O. Gisvold, J. Am. Pharm. Assoc. 34, 78 (1945). Prepn from guaiaretic acid dimethyl ether: G. Schroeter et al., Ber. 51, 1587 (1918); R. D. Haworth et al., J. Chem. Soc. 1934, 1423. Synthesis: S. V. Lieberman et al., J. Am. Chem. Soc. 69, 1540 (1947); and configuration of naturally occurring form: C. W. Perry et al., J. Org. Chem. 37, 4371 (1972). Use as antioxidant: W. M. Lauer, US 2373192 (1945 to U. S. Secr'y of Agriculture). Antiproliferative effect on cultured keratinocytes: D. I. Wilkinson, E. K. Orenberg, Int. J. Dermatol. 26, 660 (1987); on cultured glioma cells: D. E. Wilson et al., J. Neurosurg. 71, 551 (1989). Clinical trial in actinic keratoses: E. A. Olsen et al., J. Am. Acad. Dermatol. 24, 738 (1991).

Chemical structure

Properties

Crystals from acetic acid, mp 185-186°. uv max (methanol): 283, 218 nm (ε 6660, 13400). Sol in ethanol, methanol, ether, concd H2SO4; slightly sol in hot water, chloroform; sol in dil alkalies, developing a deep red color. Practically insol in petr ether, benzene, toluene, dil HCl.

Use

As antioxidant for fats and oils in foods.

Therapeutic Category

Antineoplastic.