6852. Opiniazide

Nomenclature

CAS number: 2779-55-7
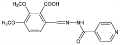
4-Pyridinecarboxylic acid [(2-carboxy-3,4-dimethoxyphenyl)methylene]hydrazide; 5,6-dimethoxyphthalaldehydic acid isonicotinoylhydrazone; 1-(2-carboxy-3,4-dimethoxybenzylidene)-2-isonicotinoylhydrazine; 2-carboxy-3,4-dimethoxybenzal isonicotinylhydrazone; saluside; saluzide; saliuzid; saluzid.
C16H15N3O5; mol wt 329.31.
C 58.36%, H 4.59%, N 12.76%, O 24.29%.

Description and references

Description: G. N. Pershin, S.A. Vichkanova, C.A. 51, 10747e (1957); C.A. 52, 1485-1486 (1958); V. A. Buskina, C.A. 54, 744f (1960). Bioavailability: A. F. Zaeko, V. G. Perkova, Farmatsiya (Moscow) 28, 28 (1979), C.A. 92, 185805g (1980). Toxicity study: R. A. Akhundov, Mater. Nauchn. Konf. Azgosmedinstituta 1975, 137, C.A. 86, 50678y (1977).

Chemical structure

Properties

LD50 i.v. in guinea pigs: 1.634 g/kg (Akhundov).

Therapeutic Category

Antibacterial (tuberculostatic).

Keywords

Antibacterial (Tuberculostatic)