6875. Ornoprostil

Nomenclature

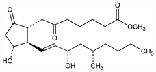
CAS number: 70667-26-4
(1R,2R,3R)-3-Hydroxy-2-[(1E,3S,5S)-3-hydroxy-5-methyl-1-nonenyl]-ε,5-dioxocyclopentaneheptanoic acid; (11α,13E,15S,17S)-11,15-dihydroxy-17,20-dimethyl-6,9-dioxoprost-13-en-1-oic acid methyl ester; 17S,20-dimethyl-6-oxoprostaglandin E1 methyl ester; 6-oxo-17S,20-dimethyl-PGE1 methyl ester; ronoprost; ONO-1308; OU-1308; Alloca (Pharmacia & Upjohn); Ronok (Ono).
C23H38O6; mol wt 410.54.
C 67.29%, H 9.33%, O 23.38%.

Description and references

Analog of prostaglandin E1, q.v. Prepn: M. Hayashi et al., DE 2840032; eidem, US 4278688 (1979, 1981 both to Ono). Effect on gastric mucosal lesions in rats: H. Kuwata et al., Nippon Shokakibyo Gakkai Zasshi 82, 1858 (1985), C.A. 104, 15709c (1986); eidem, Curr. Clin. Pract. Ser. 36, 243 (1986); on experimental esophagitis: S. Inoue et al., Gendai Iyro 19, 1348 (1987), C.A. 107, 626m (1987).

Chemical structure

Therapeutic Category

Antiulcerative.

Keywords

Antiulcerative; Prostaglandin/Prostaglandin Analog