6889. Oseltamivir

Nomenclature

CAS number: 196618-13-0
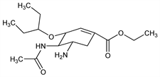
(3R,4R,5S)-4-(Acetylamino)-5-amino-3-(1-ethylpropoxy)-1-cyclohexene-1-carboxylic acid ethyl ester.
C16H28N2O4; mol wt 312.40.
C 61.51%, H 9.03%, N 8.97%, O 20.49%.

Description and references

Orally active inhibitor of influenza virus neuraminidase; converted in vivo to the active acid metabolite, GS-4071. Prepn: N. W. Bischofberger et al., US 5763483 (1998 to Gilead Sci.). Improved prepn: Y.-Y. Yeung et al., J. Am. Chem. Soc. 128, 6310 (2006). Degradation kinetics: R. Oliyai et al., Pharm. Res. 15, 1300 (1998). Bioavailability and pharmacokinetics: W. Li et al., Antimicrob. Agents Chemother. 42, 647 (1998). Review of structure-activity studies and clinical development: C. U. Kim, Med. Chem. Res. 8, 392-399 (1998). Clinical trial in prevention of influenza: F. G. Hayden et al., N. Engl. J. Med. 341, 1336 (1999); in treatment of acute influenza: J. J. Treanor et al., J. Am. Med. Assoc. 283, 1016 (2000). Review of potential use in influenza pandemic: P. Ward et al., J. Antimicrob. Chemother. 55, Suppl. S1, i5-i21 (2005).

Chemical structure

Properties

Pale solid. pKa 7.7 (25°); 6.6 (70°).

Derivative

Phosphate.

Nomenclature

CAS number: 204255-11-8
GS-4104; Tamiflu (Roche).
C16H28N2O4.H3PO4; mol wt 410.40.
C 46.83%, H 7.61%, N 6.83%, O 31.19%, P 7.55%.

Properties

White crystalline solid.

Therapeutic Category

Antiviral (influenza).

Keywords

Neuraminidase Inhibitor; Antiviral; Sialic Acid Analogs