6931. Oxendolone

Nomenclature

CAS number: 33765-68-3
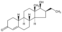
(16β,17β)-16-Ethyl-17-hydroxyestr-4-en-3-one; 16β-ethyl-19-nortestosterone; TSAA-291; Prostetin (Takeda).
C20H30O2; mol wt 302.45.
C 79.42%, H 10.00%, O 10.58%.

Description and references

Prepn: K. Hiraga et al., DE 2100319; eidem, US 3856829 (1971, 1974 both to Takeda); K. Yoshioka et al., Chem. Pharm. Bull. 23, 3203 (1975). Stereoselective synthesis and NMR study: G. Goto et al., ibid. 25, 1295 (1977). Synthesis and anti-androgenic activity: eidem, ibid. 26, 1718 (1978). Physico-chemical properties and stabilities: K. Itakura et al., Takeda Kenkyushoho 37, 297 (1978), C.A. 91, 20879 (1979). Disposition and metabolism: S. Tanayama et al., Steroids 33, 65 (1979). Series of articles on pharmacology, mechanism of action, anti-androgen effects: Acta Endocrinol. 92 (Suppl 2), 1-107 (1979).

Chemical structure

Properties

Crystals from ether, mp 152-153°. [α]D +41° (c = 1.0 in ethanol). uv max (ethanol): 240 nm (ε 15800). Stable against heat, humidity, indoor light. Converted to the 16α- and 17α-epimers in sunlight. LD50 in rats, mice (g/kg): >10 orally; 5-10 i.m. and i.p. (Hiraga, 1971).

Therapeutic Category

Anti-androgen; in treatment of benign prostatic hypertrophy.

Keywords

Antiandrogen; Antiprostatic Hypertrophy