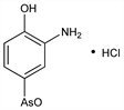
6948. Oxophenarsine Hydrochloride

Nomenclature

CAS number: 538-03-4
2-Amino-4-arsenosophenol hydrochloride; 3-amino-4-hydroxyphenyl arsinoxide hydrochloride; Ehrlich 5; Arseno 39; Arsenoxide; Mapharsen (Parke-Davis); Mapharside; Mapharsal; Fontarsan; Arsenosan; Oxiarsolan.
C6H7AsClNO2; mol wt 235.50.
C 30.60%, H 3.00%, As 31.81%, Cl 15.05%, N 5.95%, O 13.59%.

Description and references

Ref: G. W. Raiziss, J. L. Gavron, Organic Arsenical Compounds (Chem. Catalog Co., New York, 1923), pp 136-137; Scott, Tullar, CA 405532 (1942 to Parke, Davis).

Chemical structure

Properties

Hygroscopic, white or nearly white, powder contg 1/2 mole ethanol. Readily sol in water, methanol, ethanol, in solns of alkali hydroxides and carbonates, in dil mineral acids. Sparingly sol in glacial acetic acid. Practically insol in acetone, ether. The aq soln is acid to litmus or methyl red, but alkaline to Congo red. Solns darken on exposure to air. Usually marketed mixed with buffering agents to render its soln physiologically compatible with human blood.

Therapeutic Category

Antiprotozoal (Trypanosoma).

Therapeutic Category (Veterinary)

Has been used as an antirickettsial.

Keywords

Antiprotozoal (Trypanosoma)