7041. Paromomycin

Nomenclature

CAS number: 7542-37-2
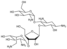
O-2-Amino-2-deoxy-α-d-glucopyranosyl-(1→4)-O-[O-2,6-diamino-2,6-dideoxy-β-l-idopyranosyl-(1→3)-β-d-ribofuranosyl-(1→5)]-2-deoxy-d-streptamine; O-2,6-diamino-2,6-dideoxy-β-l-idopyranosyl-(1→3)-O-β-d-ribofuranosyl-(1→5)-O-[2-amino-2-deoxy-α-d-glucopyranosyl-(1→4)]-2-deoxystreptamine; paromomycin I; amminosidin; catenulin; crestomycin; estomycin; hydroxymycin; monomycin A; neomycin E; paucimycin; R-400.
C23H45N5O14; mol wt 615.63.
C 44.87%, H 7.37%, N 11.38%, O 36.38%.

Description and references

Oligosaccharide-type antibiotic isolated from various Streptomyces. From S. rimosus forma paromomycinus: Frohardt et al., US 2916485 (1959 to Parke, Davis); from S. catenulae: Davisson, Finlay, US 2895876 (1959 to Pfizer); from S. chrestomyceticus: Canevazzi, Scotti, G. Microbiol. 7, 242 (1959); Arcamone et al., ibid. 251. Identity of paromomycin, catenulin, hydroxymycin and aminosidine: Schillings, Schaffner, Antimicrob. Agents Chemother. 1961, 274. Structure: Haskell et al., J. Am. Chem. Soc. 81, 3480, 3482 (1959); Rinehart et al., ibid. 84, 3218 (1962); Hichens, Rinehart, ibid. 85, 1547 (1963). Probable identity with zygomycin A: Horii, J. Antibiot. 15A, 187 (1962). Identity with monomycin A: Konstantinova, Brazhnikova, Antibiotiki 10(1), 34 (1965); with neomycin E: Hessler et al., J. Antibiot. 23, 464 (1970). Toxicity data: A. DiMarco, C. Bertazzoli, Antibiot. Chemother. 11, 2 (1963). Review of antimicrobial activity: G. L. Coffey et al., ibid. 9, 730 (1959). Review of pharmacology: Gasparini, Pignatelli, Veterinaria (Milan) 21, 7 (1972).

Chemical structure

Properties

Amorphous white powder. [α]D25 +65 ±3°. Soluble in water; moderately sol in methanol; sparingly sol in abs ethanol. LD50 in rats, mice (mg/kg): >1625, >2275 orally; >650, 423 s.c.; 156, 90 i.v. (Coffey).

Derivative

Sulfate.

Nomenclature

CAS number: 1263-89-4
1600 Antibiotic; FI-5853; Aminoxidin (Farmitalia); Aminosidine (Kyowa); Farmiglucin (Farmitalia); Farminosidin (Farmitalia); Gabbromicina (Farmitalia); Gabbromycin (Farmitalia); Gabbroral (Farmitalia); Humagel (Parke-Davis); Humatin (Parke-Davis); Pargonyl; Paramicina (Raglionieri); Paricina (Archifar); Sinosid (SIF).
C23H45N5O14.H2SO4; mol wt 713.71.
C 38.71%, H 6.64%, N 9.81%, O 40.35%, S 4.49%.

Properties

[α]D25 +50.5° (c = 1.5 in water pH 6). LD50 in mice (mg/kg): ≈15,000 orally; 700 s.c.; 110 i.v. (Di Marco, Bertazzoli).

Therapeutic Category

Antibacterial; antiamebic.

Therapeutic Category (Veterinary)

Antiamebic.

Keywords

Antiamebic; Antibacterial (Antibiotics); Aminoglycosides