7081. Penamecillin

Nomenclature

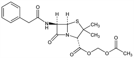
CAS number: 983-85-7
(2S,5R,6R)-3,3-Dimethyl-7-oxo-6-[(phenylacetyl)amino]-4-thia-1-azabicyclo[3.2.0]heptane-2-carboxylic acid (acetyloxy)methyl ester; penicillin G hydroxymethyl ester acetate; acetoxymethyl benzylpenicillinate; benzylpenicillin acetoxymethyl ester; Wy-20788; Havapen (Wyeth); Maripen (Biogal).
C19H22N2O6S; mol wt 406.45.
C 56.15%, H 5.46%, N 6.89%, O 23.62%, S 7.89%.

Description and references

Semi-synthetic antibiotic related to penicillin. Prepn: A. B. A. Jansen, T. J. Russell, J. Chem. Soc. 1965, 2127; eidem, GB 1003479 (1965 to John Wyeth & Brother); eidem, US 3250679 (1966 to Am. Home).

Chemical structure

Properties

Crystals from isopropanol + ethanol, mp 106-108°. [α]D20 +154°. Not inactivated by gastric acid.

Therapeutic Category

Antibacterial.

Keywords

Antibacterial (Antibiotics); β-Lactams; Penicillins