7165. Perifosine

Nomenclature

CAS number: 157716-52-4
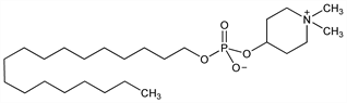
4-[[Hydroxy(octadecyloxy)phosphinyl]oxy]-1,1-dimethylpiperidinium inner salt; octadecyl-(1,1-dimethylpiperidinio-4-yl)phosphate; D-21266; KRX-0401; NSC-639966.
C25H52NO4P; mol wt 461.66.
C 65.04%, H 11.35%, N 3.03%, O 13.86%, P 6.71%.

Description and references

Synthetic alkylphosphocholine anticancer agent. Inhibits the phosphatidylinositol 3-kinase regulated Akt/PKB survival pathway and induces apoptosis. Prepn: G. N"ossner et al., DE 4222910; eidem, US 6172050 (1994, 2001 both to Asta Medica). Mechanism of action study: G. A. Ruiter et al., Anti-Cancer Drugs 14, 167 (2003). LC-ESI-MS determn in plasma: E. W. Woo et al., J. Chromatogr. B 759, 247 (2001). Biodistribution and tumor uptake: S. R. Vink et al., Invest. New Drugs 23, 279 (2005). Clinical pharmacokinetics: M. Crul et al., Eur. J. Cancer 38, 1615 (2002); evalution in advanced cancer: L. Van Ummersen et al., Clin. Cancer Res. 10, 7450 (2004).

Chemical structure

Properties

Crystals from methyl ethyl ketone, mp 271-272° (dec).

Therapeutic Category

Antineoplastic.

Keywords

Antineoplastic