7366. Phoxim

Nomenclature

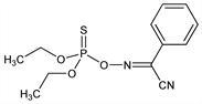
CAS number: 14816-18-3
5-Ethoxy-2-phenyl-4,6-dioxa-3-aza-5-phosphaoct-2-enenitrile 5-sulfide; 4-ethoxy-7-phenyl-3,5-dioxa-6-aza-4-phosphaoct-6-ene-8-nitrile 4-sulfide; phenylglyoxylonitrile oxime O,O-diethyl phosphorothioate; O,O-diethyl O-(α-cyanobenzylideneamino)phosphorothioate; α-[[(diethoxyphosphinothioyl)oxy]imino]benzeneacetonitrile; Bay 5621; Bay 77488; Baythion (Bayer); Byemite (Bayer); Sebacil (Bayer).
C12H15N2O3PS; mol wt 298.30.
C 48.32%, H 5.07%, N 9.39%, O 16.09%, P 10.38%, S 10.75%.

Description and references

Organophosphate insecticide; cholinesterase inhibitor. Prepn: NL 6605907; W. Lorenz et al., US 3591662 (1966, 1971 both to Bayer). Activity: C. R. Harris, J. Econ. Entomol. 63, 782 (1970); D. C. Read, ibid. 69, 429 (1976). Toxicity studies: J. H. Vinopal, T. R. Fukuto, Pestic. Biochem. Physiol. 1, 44 (1971) DOI. Degradation in soil: G. Dr"ager, Pflanzenschutz-Nachr. 30, 28 (1977). HPLC determn in water samples: P. Liang et al., J. Sep. Sci. 29, 366 (2006) DOI PubMed. Field trials in chickens: B. Meyer-Kühling et al., Vet. Parasitol. 147, 289 (2007) DOI PubMed.

Chemical structure

Properties

Pale yellow oil, bp0.01 102°. nD20 1.5405. d420 1.176. Sol in alc, ketones, aromatic hydrocarbons. LD50 orally in mice: >2000 mg/kg (Vinopal, Fukuto).

Use

Insecticide.

Therapeutic Category (Veterinary)

Ectoparasiticide.