7367. Phrenosin

Nomenclature

CAS number: 586-02-7
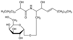
(2R)-N-[(1S,2R,3E)-1-[(β-d-Galactopyranosyloxy)methyl]-2-hydroxy-3-heptadecenyl]-2-hydroxytetracosanamide.
C48H93NO9; mol wt 828.25.
C 69.61%, H 11.32%, N 1.69%, O 17.39%.

Description and references

Cerebroside easily separated from a commercially available beef spinal cord lipid concentrate or from nerve tissue. A large proportion of its fatty acid content (25%) is 2-hydroxystearic acid, the rest is cerebronic (2-hydroxylignoceric) acid. Isoln: Radin et al., J. Biol. Chem. 219, 977 (1956); Skipski et al., Arch. Biochem. Biophys. 82, 487 (1959). Synthesis: Shapiro, Flowers, J. Am. Chem. Soc. 83, 3327 (1961).

Chemical structure

Properties

Cryst from pyridine + acetone, methanol + chloroform, toluene + alcohol (1:1) or chloroform + alcohol + water, [α] +4.5° (c = 2 in pyridine). IR spectrum: H. P. Schwarz et al., Ann. N.Y. Acad. Sci. 69, 116 (1957). Sol in hot dioxane, 1,1-dichloro-1-nitroethane, butanol and acetonitrile + chloroform.