7389. Phytofluene

Nomenclature

CAS number: 540-05-6
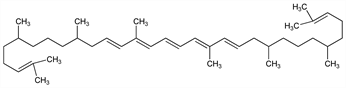
7,7′,8,8′,11,12-Hexahydro-ψ,ψ-carotene; 5,6,7,8,9,10,10′,9′,8′,7′,6′,5′-dodecahydrolycopene; all-trans-phytofluene.
C40H68; mol wt 548.97.
C 87.51%, H 12.49%.

Description and references

Polyene hydrocarbon widespread in the vegetable kingdom where it has been observed in chlorophyll-free tissues which contain considerable amounts of carotenoid pigments. Extracted from Diospyros kaki L.f., Ebenaceae, Arbutus unedo L., Ericaceae, Pyracantha angustifolia (Franch.) Schneid., Rosaceae, and tomatoes: Zechmeister, Sandoval, J. Am. Chem. Soc. 68, 197 (1946) DOI; Wallace, Porter, Arch. Biochem. Biophys. 36, 468 (1952) DOI; from the basidiomycete, Dacromyces stillatus: Goodwin, Biochem. J. 53, 538 (1953) PubMed. Structure: Porter, Lincoln, Arch. Biochem. Biophys. 27, 390 (1950); Zechmeister, Experientia 10, 1 (1954) DOI PubMed.

Chemical structure

Properties

Pale orange, viscous oil which solidifies upon cooling, forming a glassy mass without apparent crystal structure. bp0.0001 140-185° (bath temp). uv max (petr ether): 367, 348, 332 nm. Freely sol in petr ether, ether, benzene. Practically insol in water, methanol, ethanol. Strong green fluorescence in ultraviolet spectra.