7536. Plicamycin

Nomenclature

CAS number: 18378-89-7
Mithramycin; aureolic acid; mithracin; mitramycin; aurelic acid; antibiotic LA-7017.
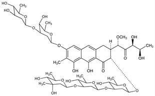
C52H76O24; mol wt 1085.15.
C 57.55%, H 7.06%, O 35.39%.

Description and references

Oligosaccharide antibiotic produced by Streptomyces argillaceus n. sp. and S. tanashiensis. Isoln: Grundy et al., Antibiot. Chemother. 3, 1215 (1953); Philip, Schenck, ibid. 1218; Rao et al., ibid. 12, 182 (1962). Identity of aureolic acid with mithramycin: Berlin et al., Nature 218, 193 (1968). Prepn: Gado et al., HU 155679 (1969 to Gyogyszerkutato Intezet), C.A. 70, 118093f (1969). Similar to the chromomycins and olivomycins, q.q.v. Structural elucidation of the aglycone, chromomycinone, and the carbohydrate moieties: Bakhaeva et al., Tetrahedron Lett. 1968, 3595; Berlin et al., Khim. Prir. Soedin. 1972, 537, 542, C.A. 78, 16436t, 16443t (1973). Revised structure: J. Thiem, B. Meyer, Tetrahedron 37, 551 (1981). NMR and fluorometric characterization: N. R. Krishna et al., J. Antibiot. 43, 1543 (1990). Metabolic studies: Kennedy et al., Cancer Res. 27, 1534 (1967). Mode of action studies: Kushch et al., Antibiotiki 17, 504 (1972). Toxicity study: M. Slavik, S. K. Carter, Adv. Pharmacol. Chemother. 12, 1 (1975). Review: J. D. Skarbek, M. K. Speedie in Antitumor Compounds of Natural Origin vol. 1, A. Aszalos, Ed. (CRC Press, Boca Raton, 1981) pp 191-235.

Chemical structure

Properties

Yellow solid, mp 180-183°. [α]D20 -51° (c = 0.4 in ethanol). Sol in lower alcohols, acetone, ethyl acetate, water. Moderately sol in chloroform. Slightly sol in ether, benzene. LD50 in mice, rats (mg/kg): 2.14, 1.74 i.v. (Slavik, Carter).

Therapeutic Category

Antineoplastic.

Keywords

Antineoplastic; Antibiotics and Analogs