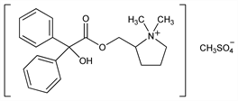
7554. Poldine Methylsulfate

Nomenclature

CAS number: 545-80-2
2-[[(Hydroxydiphenylacetyl)oxy]methyl]-1,1-dimethylpyrrolidinium methyl sulfate (salt); 2-hydroxymethyl-1,1-dimethylpyrrolidinium methyl sulfate benzilate; 2-benziloyloxymethyl-1,1-dimethylpyrrolidinium methyl sulfate; (1-methyl-2-pyrrolidinyl)methyl benzilate methylmethosulfate; IS-499; McN-R-726-47; Nacton (McNeil); Nactate.
C22H29NO7S; mol wt 451.53.
C 58.52%, H 6.47%, N 3.10%, O 24.80%, S 7.10%.

Description and references

Anticholinergic. Prepn: Doyle et al., J. Chem. Soc. 1958, 4458. Prepn of the base: Blicke, Lu, J. Am. Chem. Soc. 79, 29 (1955).

Chemical structure

Properties

Needles from methyl ethyl ketone + ethanol + ether, mp 154-155°. Soluble in water.

Therapeutic Category

Antispasmodic.

Keywords

Antispasmodic; Antimuscarinic