7557. Polidexide

Nomenclature

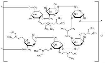
CAS number: 9064-92-0
Sephadex 2-(diethylamino)ethyl ether; dextran 2-(diethylamino)ethyl 2-[[2-(diethylamino)ethyl]diethylammonio]ethyl ether chloride hydrochloride epichlorohydrin crosslinked; poly[2-(diethylamino)ethyl] polyglycerylene dextran hydrochloride; PDX chloride; Secholex; DEAE-Sephadex (Amersham).

Description and references

Anion exchange resin containing quaternary ammonium groups. Bile acid sequestrant that has been used to reduce serum cholesterol. Prepn: GB 1013585 (1965 to Pharmacia AB). Clinical evaluation in hyperlipidemia: R. J. C. Evans et al., Angiology 24, 22 (1973); S. Ritland et al., Scand. J. Gastroenterol. 10, 791 (1975). Review of use in chromatographic purification of proteins: D. M. Bollag, Methods Mol. Biol. 36, 11-22 (1994).

Chemical structure

Properties

Tasteless powder; forms gel in water.

Use

Ion exchange resin.

Therapeutic Category

Antilipemic.

Keywords

Antilipemic; Bile Acid Sequesterants; Ion-exchange Resin