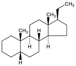
7726. Pregnane

Nomenclature

CAS number: 481-26-5
5β-Pregnane; 17β-ethyletiocholane.
C21H36; mol wt 288.51.
C 87.42%, H 12.58%.

Description and references

Prepd by reduction of etiocholyl methyl ketone or of pregnanedione: Butenandt, Ber. 64, 2529 (1931); Marker et al., J. Am. Chem. Soc. 60, 1067 (1938); Steiger, Reichstein, Helv. Chim. Acta 21, 161 (1938).

Chemical structure

Properties

Monoclinic scales, plates from methanol; mp 83.5°. d415 1.032. [α]D19 +20° (c = 2 in chloroform).