7727. Pregnanediol

Nomenclature

CAS number: 80-92-2
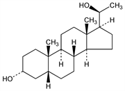
(3α,5β,20S)-Pregnane-3,20-diol.
C21H36O2; mol wt 320.51.
C 78.69%, H 11.32%, O 9.98%.

Description and references

A metabolite of progesterone, present in large amounts in pregnancy urine. Isoln from pregnancy urine of women: Marrian, Biochem. J. 23, 1090 (1929), Butenandt, Ber. 63, 659 (1930); of cows, mares, and chimpanzees: Fish et al., J. Biol. Chem. 143, 716 (1942). Prepn by reduction of pregn-16-ene-3,20-dione: Marker et al., US 2352852 (1944 to Parke, Davis). Conversion to progesterone: Butenandt, Schmidt, Ber. 67, 1893, 1901 (1934). Conversion to 3α-hydroxypregnan-20-one: Marker, US 2223377 (1940 to Parke, Davis). Prepn of the 3-acetate: Hirschmann, J. Biol. Chem. 140, 797 (1941); Ralls et al., ibid. 210, 709 (1954). Prepn of the 20-acetate: Hirschmann, loc. cit. Prepn of the diacetate: Johnson et al., J. Chem. Soc. 1954, 1302. Crystal structure: Haner, Norton, Acta Crystallogr. 16, 707 (1963). Review of metabolism, bioactivity and assay during pregnancy: P. J. Keller, Contrib. Gynecol. Obstet. 2, 75-91 (1976).

Chemical structure

Properties

Crystals from acetone or ethanol, mp 239°. [α]D20 +27.4° (c = 0.7 in alc). Sparingly sol in organic solvents. Not precipitated by digitonin.

Derivative

3-Acetate.

Nomenclature

3α-Acetoxypregnan-20α-ol.
C23H38O3; mol wt 362.55.
C 76.20%, H 10.56%, O 13.24%.

Properties

Crystals, mp 132°. [α]D25 +45° (CHCl3).

Derivative

20-Acetate.

Nomenclature

20α-Acetoxypregnan-3α-ol.
C23H38O3; mol wt 362.55.
C 76.20%, H 10.56%, O 13.24%.

Properties

Crystals, mp 174°.

Derivative

Diacetate.

Nomenclature

3α,20α-Diacetoxypregnane.
C25H40O4; mol wt 404.58.
C 74.22%, H 9.97%, O 15.82%.

Properties

Crystals from light petroleum, mp 180°, also reported as mp 182-183°. [α]D15 +35° (c = 1.1 in CHCl3).

Use

In manuf of progesterone.