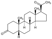
7728. 3,20-Pregnanedione

Nomenclature

CAS number: 128-23-4
(5β)-Pregnane-3,20-dione.
C21H32O2; mol wt 316.48.
C 79.70%, H 10.19%, O 10.11%.

Description and references

From pregnancy urine of mares. Prepn from other steroids: Butenandt, Ber. 63, 659 (1930); Butenandt, Fleischer, Ber. 68, 2094 (1935); Marker et al., J. Am. Chem. Soc. 59, 1595 (1937); Shoppee, Reichstein, Helv. Chim. Acta 24, 356 (1941); US 2160719; US 2352852; US 2323276; US 2229818.

Chemical structure

Properties

Needles from dil alc, mp 123°. Insol in water. Freely sol in the usual organic solvents.

Derivative

Dioxime.
C21H34N2O2; mol wt 346.51.
C 72.79%, H 9.89%, N 8.08%, O 9.23%.

Properties

Dec above 250°.