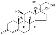
7730. 4-Pregnene-11β,17α,20β,21-tetrol-3-one

Nomenclature

CAS number: 116-58-5
11β,17,20β,21-Tetrahydroxypregn-4-en-3-one; 17-(1,2-dihydroxyethyl)androsten-3-one-11,17-diol; Reichstein's substance E.
C21H32O5; mol wt 364.48.
C 69.20%, H 8.85%, O 21.95%.

Description and references

Occurs in adrenal cortex. Isoln: Reichstein, Helv. Chim. Acta 19, 29 (1936); 20, 953 (1937); Reichstein, von Euw, ibid. 24, 247E (1941).

Chemical structure

Properties

Hydrated crystals from dil acetone, dec 125°. [α]D20 +87° (alc). [M]D +317°. uv max: 240 nm.

Derivative

20,21-Diacetate.

Properties

Crystals, dec 229-230°. [α]D20 +162.7°. [M]D +730° (acetone).