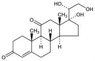
7731. 4-Pregnene-17α,20β,21-triol-3,11-dione

Nomenclature

CAS number: 116-59-6
(20R)-17,20,21-Trihydroxypregn-4-ene-3,11-dione; Reichstein's substance U.
C21H30O5; mol wt 362.46.
C 69.59%, H 8.34%, O 22.07%.

Description and references

Isoln from adrenal glands: Reichstein, von Euw, Helv. Chim. Acta 24, 247E (1941).

Chemical structure

Properties

Clusters of needles from acetone + ether, mp 208-209°.

Derivative

20,21-Diacetate.
C25H34O7; mol wt 446.53.
C 67.24%, H 7.67%, O 25.08%.

Properties

Pointed needles from acetone + ether or chloroform + ether, mp 253°. [α]D21 +178.5° (c = 0.924 in acetone). uv max (alc): 239 nm (log ε 4.1). Less sol than the 20,21-diacetate of 4-pregnene-11β,17α,20,21-tetrol-3-one.