7784. Promedol

Nomenclature

CAS number: 64-39-1
1,2,5-Trimethyl-4-phenyl-4-piperidinol propanoate (ester); 1,2,5-trimethyl-4-phenyl-4-propionyloxypiperidine; 1,2,5-trimethyl-4-phenyl-4-piperidyl propionate; dimethylmeperidine.
C17H25NO2; mol wt 275.39.
C 74.14%, H 9.15%, N 5.09%, O 11.62%.

Description and references

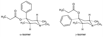
Prepn: Nazarov et al., J. Gen. Chem. USSR 26, 3117 (1956); Nazarov, Shvestov, ibid. 3533. Conformation studies: Prostakov, Mikheeva, ibid. 31, 108 (1961); 33, 2931 (1963); eidem, Russ. Chem. Rev. 31, 556 (1962). Of the four possible isomers α and γ are shown.

Chemical structure

Derivative

α-Isomer hydrochloride.

Nomenclature

α-Promedol.
C17H25NO2.HCl; mol wt 311.85.
C 65.47%, H 8.40%, N 4.49%, O 10.26%, Cl 11.37%.

Properties

Crystals from benzene, mp 153-154°. Has been also reported as mp 106-107° or 126-131° (Prostakov, Mikheeva, 1961).

Derivative

β-Isomer hydrochloride.

Nomenclature

Isopromedol.

Properties

Crystals, mp 183-184°, Nazarov, Shvestov, Bull. Acad. Sci. USSR Phys. Ser. 1959, 2059.

Derivative

γ-Isomer hydrochloride.

Nomenclature

Trimeperidine; γ-promedol.

Properties

Crystals from acetone, mp 222-223°.

Note

This is a controlled substance (opiate): 21 CFR, 1308.11.

Therapeutic Category

Analgesic.

Keywords

Analgesic; Opioids; Phenylpiperidines