8043. Quinacillin

Nomenclature

CAS number: 1596-63-0
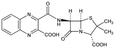
(2S,5R,6R)-6-[[(3-Carboxy-2-quinoxalinyl)carbonyl]amino]-3,3-dimethyl-7-oxo-4-thia-1-azabicyclo[3.2.0]heptane-2-carboxylic acid; 3-carboxy-2-quinoxalinylpenicillin.
C18H16N4O6S; mol wt 416.41.
C 51.92%, H 3.87%, N 13.45%, O 23.05%, S 7.70%.

Description and references

Semi-synthetic antibiotic related to penicillin. Prepd by condensation of quinoxaline-2,3-dicarboxylic anhydride with 6-aminopenicillanic acid: Richards et al., Nature 199, 354 (1963).

Chemical structure

Derivative

Disodium salt.

Nomenclature

CAS number: 985-32-0
C18H14N4Na2O6S; mol wt 460.37.
C 46.96%, H 3.07%, N 12.17%, Na 9.99%, O 20.85%, S 6.97%.

Properties

Crystals, dec 261-262°. [α]D23 +183.5° (water). Very hygroscopic. uv max (containing 9.2% water): 242, 326 nm (ε 32,100; 7280). Acquires a bright yellow color on exposure to strong sunlight but is stable at 100° for at least 3 months. Freely sol in water; a 25% aq soln is stable for 2 months at 0°. Antimicrobial activity is highest against Staphylococcus aureus.

Derivative

Bistriethylammonium salt monohydrate.
C30H46N6O6S.H2O; mol wt 636.80.
C 56.58%, H 7.60%, N 13.20%, O 17.59%, S 5.04%.

Properties

Crystals from acetone, dec 135-137°. [α]D20 +142° (c = 0.376 in water).

Therapeutic Category

Antibacterial.

Keywords

Antibacterial (Antibiotics); β-Lactams; Penicillins