8096. Raffinose

Nomenclature

CAS number: 512-69-6
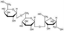
β-d-Fructofuranosyl-O-α-d-galactopyranosyl-(1→6)-α-d-glucopyranoside; gossypose; melitose; melitriose.
C18H32O16; mol wt 504.44.
C 42.86%, H 6.39%, O 50.75%.

Description and references

A trisaccharide built from 1 mol each of d-galactose, d-glucose, and d-fructose which are obtained from it by acid hydrolysis. Invertase splits it into melibiose and saccharose. Occurs in Australian manna (from Eucalyptus spp, Myrtaceae); in cottonseed meal. Prepn: C. S. Hudson, T. S. Harding, J. Am. Chem. Soc. 36, 2110 (1914); E. P. Clark, ibid. 44, 210 (1922); Harding, Sugar 25, 82 (1923); Hungerford, Nees, Ind. Eng. Chem. 26, 462 (1934). Configuration: Haworth et al., J. Chem. Soc. 1923, 3125; Charlton et al.; Haworth et al., ibid. 1927, 1527, 3146. Structure: Hassid, Ballou in W. Pigman, The Carbohydrates (Academic Press, New York, 1957) p 517. Synthesis: Suami et al., Carbohydr. Res. 26, 234 (1973). Review: E. B. Rathbone, Dev. Food Carbohydr. 2, 145-185 (1980).

Chemical structure

Derivative

Pentahydrate.

Properties

Crystals in clusters from dil alc. Indifferent taste. d 1.465. mp 80°. Loses water of crystn upon slow heating to 100°. The anhydrous form dec 118-119°. [α]D20 +105.2° (c = 4). One gram dissolves in 7 ml water (soly table: Hungerford, Nees), in 10 ml methanol. Sol in pyridine, slightly sol in alc. Does not form an osazone and does not reduce Fehling's soln.