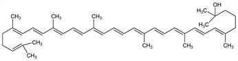
8191. Rhodopin

Nomenclature

CAS number: 105-92-0
1,2-Dihydro-1-hydroxy-ψ,ψ-carotene; 1,2-dihydro-1-hydroxylycopene.
C40H58O; mol wt 554.89.
C 86.58%, H 10.54%, O 2.88%.

Description and references

Pigment from Rhodovibrio and Thiocystis bacteria: Karrer, Solmssen, Helv. Chim. Acta 18, 1306 (1935); 19, 1019 (1936); Karrer et al., ibid. 21, 454 (1938); from Rhodomicrobium vannielii: Volk, Pennington, J. Bacteriol. 59, 169 (1950); Ryvarden, Jensen, Acta Chem. Scand. 18, 643 (1964). Structure: Jensen, ibid. 13, 842, 2142 (1959). Synthesis: Bonnett et al., ibid. 18, 1739 (1964); Surmatis et al., J. Org. Chem. 31, 186 (1966). Synthesis of deuterated rhodopin: Johansen, Liaaen-Jensen, Acta Chem. Scand. 28B, 301 (1974).

Chemical structure

Properties

Aggregates of dark red crystals from carbon disulfide + petr ether, mp 171° (preliminary sintering). Absorption max (chloroform): 521, 486, 453 nm.