8244. Roccellic Acid

Nomenclature

CAS number: 29838-46-8
(2R,3S)-2-Dodecyl-3-methylbutanedioic acid; (2R,3S)-2-dodecyl-3-methylsuccinic acid; d-α-dodecyl-β-methylsuccinic acid; d-α-methyl-α′-dodecylsuccinic acid.
C17H32O4; mol wt 300.43.
C 67.96%, H 10.74%, O 21.30%.

Description and references

Occurs in lichens. Isoln from Lecanora sordida (Pers.) Th. Fries, Parmeliaceae: Hesse, J. Prakt. Chem. 58, 497 (1898); Kennedy et al., Sci. Proc. R. Dublin Soc. 21, 557 (1937); from Roccella montagnei, Graphidaceae: Subbaraya, Seshadri, Proc. Indian Acad. Sci. 12A, 466 (1940); from Crocynia membranacae (Dicks.) Zahlbr., Chrysotrichaceae: Akermark et al., Acta Chem. Scand. 13, 1855 (1959). Structure: Kennedy et al., loc. cit. Absolute configuration: Akermark, Acta Chem. Scand. 16, 599 (1962).

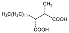
Chemical structure

Properties

Rectangular rods from acetone, mp 132-133°. [α]D20 +18° (c = 1.84 in ethanol). Practically insol in water. Freely sol in alcohol, ether; sol in aq sodium bicarbonate solns. Forms a water-sol sodium salt.