8253. Romurtide

Nomenclature

CAS number: 78113-36-7
N2-[N2-[N-(N-Acetylmuramoyl)-l-alanyl]-d-α-glutaminyl]-N6-(1-oxooctadecyl)-l-lysine; N2-(N-acetylmuramoyl-l-alanyl-d-isoglutaminyl)-N6-stearoyl-l-lysine; MDP-Lys (L18); muroctasin; DJ-7041; Nopia (Daiichi).
C43H78N6O13; mol wt 887.11.
C 58.22%, H 8.86%, N 9.47%, O 23.45%.

Description and references

Derivative of muramyl dipeptide, q.v., with immunostimulating activity. Prepn: T. Shiba et al., EP 21367; eidem, US 4317771 (1981, 1982 both to Daiichi Seiyaku). Immunopotentiating effect in vitro: Y. Osada et al., Infect. Immun. 38, 848 (1982); in vivo: K. Matsumoto et al., ibid. 39, 1029 (1983); M. Akasaki et al., Agents Actions 22, 144 (1987). Enzyme immunoassay in plasma: H. Masayasu et al., Chem. Pharm. Bull. 33, 5522 (1985). Supplement on pharmacology, toxicology and clinical studies: Arzneim.-Forsch. 38, Suppl. 7A, 951-1074 (1988). Acute toxicity: Y. Ono et al., ibid. 1022.

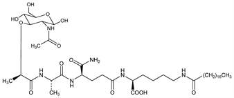
Chemical structure

Properties

Odorless, tasteless white powder, mp 176-178°. [α]D20 +24.9° (c = 1 in methanol). pKa 5.70. Soly at 20°: DMF 1 g/72 ml; methanol 1 g/190 ml; ethanol 1 g/330 ml. Practically insol in acetone, acetonitrile, chloroform, water. LD50 in male, female mice, male, female rats, dogs (mg/kg): 436, 625, 761, 801, >200 s.c. (Ono).

Therapeutic Category

Immunostimulant.

Keywords

Immunomodulator