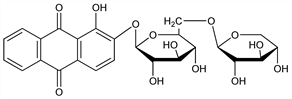
8280. Ruberythric Acid

Nomenclature

CAS number: 152-84-1
1-Hydroxy-2-[(6-O-β-d-xylopyranosyl-β-d-glucopyranosyl)oxy]-9,10-anthracenedione; 1-hydroxy-2-anthraquinonyl 6-O-β-d-xylopyranosyl-β-d-glucopyranoside; β-2-alizarin primeveroside; ruberythrinic acid; rubian; rubianic acid.
C25H26O13; mol wt 534.47.
C 56.18%, H 4.90%, O 38.92%.

Description and references

Isoln from root of Rubia tinctorium L., Rubiaceae: Hill, Richter, Proc. R. Soc. London Ser. B 121, 547 (1937). Structure: Richter, J. Chem. Soc. 1936, 1701. Synthesis: Zemplén, Bognár, Ber. 72B, 913 (1939). Metabolism: Maehner, Dulce, Z. Klin. Chem. Klin. Biochem. 6, 99 (1968).

Chemical structure

Properties

Golden-yellow, silky, lustrous prisms or long needles. mp 259-261° (from water). Sol in hot water, alkalies; slightly sol in alc, ether. Practically insol in benzene.