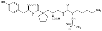
8352. Sampatrilat

Nomenclature

CAS number: 129981-36-8
N2-(Methylsulfonyl)-l-lysyl-1-[(2S)-3-amino-2-carboxypropyl]cyclopentanecarbonyl-l-tyrosine; UK-81252.
C26H40N4O9S; mol wt 584.68.
C 53.41%, H 6.90%, N 9.58%, O 24.63%, S 5.48%.

Description and references

Dual inhibitor of neutral endopeptidase (NEP) and angiotensin converting enzyme (ACE). Prepn: J. C. Danilewicz et al., EP 358398; idem, US 4975444 (both 1990 to Pfizer). Determn in plasma: R. F. Venn et al., J. Pharm. Biomed. Anal. 16, 875 (1998); and urine: eidem, ibid. 883. Clinical evaluations in hypertension: E. J. Wallis et al., Clin. Pharmacol. Ther. 64, 439 (1998); G. R. Norton et al., Am. J. Hypertens. 12, 563 (1999).

Chemical structure

Therapeutic Category

Antihypertensive.

Keywords

Antihypertensive; Vasopeptidase Inhibitor