8358. β-Santalol

Nomenclature

CAS number: 77-42-9
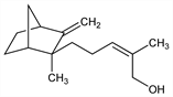
[1S-[1α,2α(Z),4α]]-2-Methyl-5-(2-methyl-3-methylenebicyclo[2.2.1]hept-2-yl)-2-penten-1-ol; 2-methyl-5-(2-methyl-3-methylene-2-norbornyl)-2-penten-1-ol.
C15H24O; mol wt 220.35.
C 81.76%, H 10.98%, O 7.26%.

Description and references

A sesquiterpene alcohol from sandalwood oil. Isoln and purification and additional refs: see α-santalol. Structure: L. Ruzicka, G. Thomann, Helv. Chim. Acta 18, 355 (1935). Synthesis: S. C. Bhattacharyya, Sci. Cult. 13, 209 (1957), C.A. 43, 5385a (1949); H. C. Kretschmar, W. F. Erman, US 3662008, US 3679756 (1972 to Procter & Gamble). Natural β-santalol has a cis-(-)-configuration. Total synthesis: eidem, Tetrahedron Lett. 1970, 41. Synthesis of dl-form: P. A. Christenson, B. J. Willis, J. Org. Chem. 44, 2012 (1979); M. Baumann, W. H. Hoffman, Ann. 1979, 743; K. Sato et al., Chem. Lett. 1981, 1183.

Chemical structure

Properties

Liquid. bp17 177-178°. d2525 0.9717. nD25 1.5100. α5461 -87.1°. Sol in alcohol; practically insol in water.

Derivative

dl-Form.

Properties

bp0.1 101-103°.

Use

In perfumes, soaps and detergents.