8380. Sarsasapogenin

Nomenclature

CAS number: 126-19-2
(3β,5β,25S)-Spirostan-3-ol; parigenin.
C27H44O3; mol wt 416.64.
C 77.83%, H 10.64%, O 11.52%.

Description and references

Steroid sapogenin from Smilax ornata Hooker, fil., Liliaceae (Sarsaparilla): Power, Salway, J. Chem. Soc. 105, 201 (1914); Jacobs, Simpson, J. Biol. Chem. 105, 501 (1934); 109, 573 (1935). Partial structure: Hirschmann et al., J. Org. Chem. 20, 572 (1955). Stereochemistry: Taylor, Chem. Ind. (London) 1954, 1066; Wall, Serota, J. Am. Chem. Soc. 76, 2850 (1954); Callow, Massey-Beresford, J. Chem. Soc. 1957, 4482; Rosen et al., J. Am. Chem. Soc. 81, 1687 (1959). Reviews: Turner, The Steroidal Sapogenins Pub. no. 361, (Univ. Microfilms, Ann Arbor, Mich., 1941) 249 pp; Shabica, Sarsasapogenin and Related Compounds, Univ. Microfilms (Ann Arbor, Mich.), Pub. no. 549, 89 pp (1943); L. F. Fieser, M. Fieser, Steroids (Reinhold, New York, 1959) p 810. See also Smilagenin.

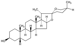
Chemical structure

Properties

Large prismatic needles from acetone, mp 199-199.5°. [α]D25 -75°, [α]25546 -89° (c = 0.5 in CHCl3). uv spectrum: Smith, Eddy, Anal. Chem. 31, 1539 (1959). Sol in alcohol, acetone, benzene, chloroform. Is precipitated by digitonin.

Derivative

Acetate.
C29H46O4; mol wt 458.67.
C 75.94%, H 10.11%, O 13.95%.

Properties

Flat needles from methanol, mp 144-145°. [α]D25 -70.2°; [α]25546 -83.1° (c = 1.18 in CHCl3).

Use

In the manuf of compds of the pregnane series.