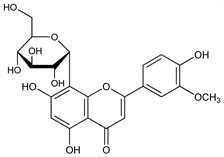
8402. Scoparin

Nomenclature

CAS number: 301-16-6
8-β-d-Glucopyranosyl-5,7-dihydroxy-2-(4-hydroxy-3-methoxyphenyl)-4H-1-benzopyran-4-one; 8-glycosyl-4′,5,7-trihydroxy-3′-methoxyflavone; scoparoside.
C22H22O11; mol wt 462.40.
C 57.14%, H 4.80%, O 38.06%.

Description and references

From leaves and branches of Spartium scoparium L., Leguminosae: Stenhouse, Ann. 78, 15 (1851); Mascré, Paris, Compt. Rend. 204, 1270 (1937). Structural study: H"orhammer et al., Naturwissenschaften 49, 393 (1962). Revised structure: Prox, Tetrahedron 24, 3697 (1968).

Chemical structure

Properties

Needles from 80% methanol, mp 253°. uv max (methanol): 345, 270 nm (log ε 4.27, 4.18). Practically insol in cold water, ether, chloroform, benzene. Sol in hot water, ethanol, methanol, acetic acid, ethyl acetate, acetone, pyridine.

Derivative

Heptaacetate.
C36H36O18; mol wt 756.66.
C 57.14%, H 4.80%, O 38.06%.

Properties

Crystals, mp 240-241°.