E. J. Corey, C. U. Kim, J. Am. Chem. Soc. 94, 7586 (1972).
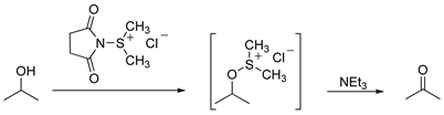
Oxidation of primary and secondary alcohols via their alkoxysulfonium salts. Upon the addition of base, the salt rearranges intramolecularly to aldehydes and ketones, respectively:

Application to the synthesis of α-hydroxy ketones: E. J. Corey, C. U. Kim, Tetrahedron Lett. 1974, 287; of 1,3-dicarbonyl compounds: S. Katayama et al., Synthesis 1988, 178; J. T. Pulkkinen et al., J. Org. Chem. 61, 8604 (1996). Cf. Pfitzner-Moffatt Oxidation; Swern Oxidation.