E. J. Corey, R. A. E. Winter, J. Am. Chem. Soc. 85, 2677 (1963).
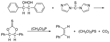
Synthesis of olefins from 1,2-diols and thiocarbonyldiimidazole. Treatment of the intermediate cyclic thionocarbonate with trimethylphosphite yields the olefin by cis-elimination:

M. Tichy, J. Sicher, Tetrahedron Lett. 1969, 4609; E. J. Corey, P. B. Hopkiss, ibid. 23, 1797 (1982); S. Kaneko et al., Chem. Pharm. Bull. 45, 43 (1997). Applications in nucleotide synthesis: L. W. Dudycz, Nucleosides Nucleotides 8, 35 (1989); R. L. K. Carr et al., Org. Prep. Proced. Int. 22, 245 (1990); in enediynes syntheses: M. F. Semmelhack, J. Gallagher, Tetrahedron Lett. 34, 4121 (1993); D. Crich et al., Synth. Commun. 29, 359 (1999).