8704. Solanidine

Nomenclature

CAS number: 80-78-4
(3β)-Solanid-5-en-3-ol; solatubine.
C27H43NO; mol wt 397.64.
C 81.55%, H 10.90%, N 3.52%, O 4.02%.

Description and references

From Solanum spp., Solanaceae. Potato sprouts contain about 0.008%. Obtained by hydrolysis of solanine. Extraction procedure: Soltys, Wallenfels, Ber. 69, 811 (1936). Review on structure: Reichstein, Reich, Annu. Rev. Biochem. 15, 155 (1946). Stereochemistry: Rosen, Rosen, Chem. Ind. (London) 1954, 1581. Revised stereochemistry: Hhne et al., Tetrahedron 22, 673 (1966). Synthesis: Schreiber, Roensch, Ber. 97, 2362 (1964); Tetrahedron 21, 645 (1965); Kessar et al., ibid. 27, 2153 (1971).

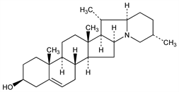
Chemical structure

Properties

Long needles from chloroform-methanol, mp 218-219°. Sublimes near mp with slight decompn. [α]D21 29° (c = 0.5 in chloroform). Freely sol in benzene, chloroform; slightly in alcohol, methanol; almost insol in ether, water.

Derivative

Hydrochloride.
C27H43NO.HCl; mol wt 434.10.
C 74.70%, H 10.22%, N 3.23%, O 3.69%, Cl 8.17%.

Properties

Prisms from 80% alcohol, dec 345°.

Derivative

Methyliodide.
C27H43NO.CH3I; mol wt 539.58.
C 62.33%, H 8.59%, N 2.60%, O 2.97%, I 23.52%.

Properties

Crystals from 50% alcohol, dec 286°.

Derivative

Acetylsolanidine.
C29H45NO2; mol wt 439.67.
C 79.22%, H 10.32%, N 3.19%, O 7.28%.

Properties

Crystals from alc, mp 208°.