8705. Solanine

Nomenclature

CAS number: 20562-02-1 (α-form); 51938-42-2 (unspecified stereo)
Solatunine.
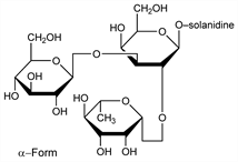
C45H73NO15; mol wt 868.06.
C 62.26%, H 8.48%, N 1.61%, O 27.65%.

Description and references

From Solanum species, especially from S. tuberosum L. (potato), S. nigrum L. (woody nightshade), and Lycopersicon esculentum Mill., Solanaceae (tomato). Fresh potato sprouts contain about 0.04%. Extraction procedure: Soltys, Wallenfels, Ber. 69, 811 (1936). Separated by chromatography into six components: α-, β-, γ-solanine and α-, β-, γ-chaconine. Main constituent α-solanine: Kuhn, Lw, Angew. Chem. 66, 639 (1954); Kuhn et al., Ber. 88, 1492 (1955); Paseshnichenko, Guseva, Biokhimiya 21, 585 (1956); eidem, ibid. 22, 843 (1957). Pharmacology: Nishie et al., Toxicol. Appl. Pharmacol. 19, 81 (1971). Toxicity study: B. C. Patil et al., Food Cosmet. Toxicol. 10, 395 (1972); and teratogenicity study: S. Chaube, C. A. Swinyard, Toxicol. Appl. Pharmacol. 36, 227 (1976).

Chemical structure

Properties

Slender needles from 85% alc, browns and sinters about 190°, dec about 285°. [α]D20 60° (pyridine). pK (15°) 6.65. Readily sol in hot alc. Practically insol in water (25 mg/l at pH 6.0), ether, chloroform. LD50 i.p. in mice: 32.3 mg/kg (Patil). LD50 i.p. in rats: 67.0 mg/kg (Chaube, Swinyard).

Derivative

Hydrochloride.

Nomenclature

CAS number: 40816-40-8
C45H73NO15.HCl; mol wt 904.52.
C 59.75%, H 8.25%, N 1.55%, O 26.53%, Cl 3.92%.

Properties

Usually amorphous and gummy, but has been crystallized, dec about 212°. Sol in water.

Use

Has been used as an agricultural insecticide.