8752. Spiramycin

Nomenclature

CAS number: 8025-81-8
RP-5337; Selectomycin (Grünenthal); Rovamicina (RPR); Rovamycin (RPR).

Description and references

Antibiotic substance classified in the erythromycin-carbomycin group and produced by Streptomyces ambofaciens from soil of northern France: Cosar et al., C. R. Seances Soc. Biol. Ses Fil. 234, 1498 (1952); Pinnert-Sindico et al., Antibiot. Annu. 1954-1955, 724; Ninet, Verrier, US 2943023 (1960 to Rhne-Poulenc), see also US 3000785 (1961 to Rhne-Poulenc). Antibacterial activity and toxicity: H. Sous et al., Arzneim.-Forsch. 8, 386 (1958). Separation into 3 components named spiramycin I, II and III: Preud'homme, Charpentier, US 2978380 and US 3011947 (1961 to Rhne-Poulenc). Structure: Kuehne, Benson, J. Am. Chem. Soc. 87, 4660 (1965). Revised structure: Omura et al., ibid. 91, 3401 (1969); Mitscher et al., J. Antibiot. 26, 55 (1973). Revised configuration at C-9: Freiberg et al., J. Org. Chem. 39, 2474 (1974). Symposium on pharmacology, antibacterial spectrum, and clinical efficacy: J. Antimicrob. Chemother. 22, Suppl. B, 1-213 (1988).

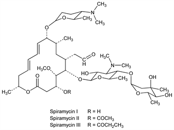
Chemical structure

Properties

Amorphous base, slightly sol in water. [α]D20 80° (methanol). uv max (ethanol): 231 nm. Sol in most organic solvents. Active on gram-positive bacteria and rickettsiae. Cross resistance between microorganisms resistant to erythromycin and carbomycin. LD50 in rats (mg/kg): 9400 orally; 1000 s.c.; 170 i.v. (Sous).

Derivative

Embonate.

Nomenclature

Spira 200 (RMB).

Derivative

Hexanedioate.

Nomenclature

Spiramycin adipate; Stomamycin (Chassot); Suanovil (Biokema).

Derivative

Spiramycin I.

Nomenclature

CAS number: 24916-50-5
Foromacidin A.
C43H74N2O14; mol wt 843.05.
C 61.26%, H 8.85%, N 3.32%, O 26.57%.

Properties

Crystals, mp 134-137°. [α]D20 96°.

Derivative

Spiramycin I triacetate.

Properties

Crystals, mp 140-142°. [α]D20 92.5°.

Derivative

Spiramycin II.

Nomenclature

CAS number: 24916-51-6
Foromacidin B.
C45H76N2O15; mol wt 885.09.
C 61.07%, H 8.65%, N 3.17%, O 27.11%.

Properties

Crystals, mp 130-133°. [α]D20 86°.

Derivative

Spiramycin II diacetate.

Properties

Crystals from cyclohexane, mp 156-160°. [α]D20 98.4°.

Derivative

Spiramycin III.

Nomenclature

CAS number: 24916-52-7
Foromacidin C.
C46H78N2O15; mol wt 899.12.
C 61.45%, H 8.74%, N 3.12%, O 26.69%.

Properties

Crystals, mp 128-131°. [α]D20 83°.

Derivative

Spiramycin III diacetate.

Properties

Crystals from cyclohexane, mp 140-142°. [α]D20 90.4°.

Therapeutic Category

Antibacterial.

Therapeutic Category (Veterinary)

Antibacterial; growth promotant.

Keywords

Antibacterial (Antibiotics); Macrolides