8766. Squalamine

Nomenclature

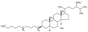
CAS number: 148717-90-2
(3β,5α,7α)-3-[[3-((4-Aminobutyl)amino)propyl]amino]-cholestane-7,24-diol 24-hydrogen sulfate; 3β-(N-[3-aminopropyl]-1,4-butanediamine)-7α,24ζ-dihydroxy-5α-cholestane 24-sulfate; 3β-N-1-[N-[3-(4-aminobutyl)]-1,3-diaminopropane]-7α,24ζ-dihydroxy-5α-cholestane 24-sulfate.
C34H67N3O5S; mol wt 629.98.
C 64.82%, H 10.72%, N 6.67%, O 12.70%, S 5.09%.

Description and references

Broad-spectrum aminosterol antibiotic present in shark tissues; novel indication for steroid as vertebrate host-defense agent. Isoln from the stomach of the spiny dogfish shark, Squalus acanthias: M. Zasloff et al., US 5192756 (1993 to Children's Hospital of Penn.). Structural determn and antimicrobial activity: K. S. Moore et al., Proc. Natl. Acad. Sci. USA 90, 1354 (1993). NMR spectral studies: S. L. Wehrli et al., Steroids 58, 370 (1993). Synthesis of trihydrochloride: R. M. Moriarty et al., WO 9419366 (1994 to Magainin Pharm.).

Chemical structure

Properties

Sol in water.