8881. Sucrose

Nomenclature

CAS number: 57-50-1
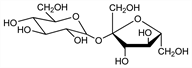
β-d-Fructofuranosyl-α-d-glucopyranoside; α-d-glucopyranosyl-β-d-fructofuranoside; sugar; saccharose; cane sugar; beet sugar.
C12H22O11; mol wt 342.30.
C 42.11%, H 6.48%, O 51.41%.

Description and references

Obtained from sugar cane (Saccharum officinarum L., Gramineae) and sugar beet (Beta valgaris L., Chenopodiaceae). Sugar cane contains from 15-20% and sugar beet from 10-17% sucrose. Structure: Avery et al., J. Chem. Soc. 1927, 2308; Beevers, Cochrane, Proc. Roy. Soc. 190A, 257 (1947). Synthesis: Pictet, Vogel, Helv. Chim. Acta 11, 436 (1928); Lemieux, Huber, J. Am. Chem. Soc. 78, 4117 (1956). Ref. with extensive bibliography: Bates, Polarimetry, Saccharimetry, and the Sugars, National Bureau of Standards Circular C440, Washington, 1942; W. Pigman, The Carbohydrates (Academic Press, New York, 1957) pp 501-506. Reviews: M. R. Jenner, Dev. Food Carbohydr. 2, 91-143 (1980); R. Khan, Pure Appl. Chem. 56, 833 (1984).

Chemical structure

Properties

Monoclinic sphenoidal crystals, cryst masses, blocks, or powder. Sweet taste. Stable in air. Finely divided sugar is hygroscopic and absorbs up to 1% moisture which is given up on heating to 90°. d425 1.587. Dec 160-186°. Chars and emits characteristic odor of caramel. [α]D20 not less than +65.9° (c = 26); usual value [α]D25 +66.47 to +66.49°. One gram dissolves in 0.5 ml water; in slightly more than 0.2 ml boiling water, in 170 ml alcohol; in about 100 ml methanol. Moderately sol in glycerol, pyridine. pKa 12.62. d420 of water solns (g/100 g): 2% 1.0060; 6% 1.0219; 10% 1.0381; 20% 1.0810; 30% 1.1270; 40% 1.1764; 50% 1.2296; 60% 1.2865; 70% 1.3471; 76% 1.3854. nD20 of 10% soln 1.34783. Sucrose does not reduce Fehling's soln, form an osazone, or show mutarotation. It is hydrolyzed to glucose and fructose by dil acids and by invertase, a yeast enzyme. Upon hydrolysis the optical rotation falls and is negative when the hydrolysis is complete. The mixture of glucose and fructose is known as “invert sugar.” Sucrose is fermentable, but resists bacterial decompn when in high concentrations.

Caution

Potential symptoms of overexposure are irritation of eyes, skin, upper respiratory system; cough. See NIOSH Pocket Guide to Chemical Hazards (DHHS/NIOSH 97-140, 1997) p 288.

Use

Sweetening agent and food. Starting material in the fermentative production of ethanol, butanol, glycerol, citric and levulinic acids. Pharmaceutic aid (flavor, preservative, antioxidant in the form of invert sugar, demulcent, substitute for glycerol, granulation agent and excipient for tablets, coating for tablets). In the plastics and cellulose industry, in rigid polyurethane foams, manuf of ink and of transparent soaps. Optical rotation standard.