8880. Sucralose

Nomenclature

CAS number: 56038-13-2
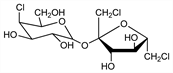
1,6-Dichloro-1,6-dideoxy-β-d-fructofuranosyl-4-chloro-4-deoxy-α-d-galactopyranoside; 4,1′,6′-trichloro-4,1′,6′-trideoxy-galacto-sucrose; 1′,4,6′-trichlorogalactosucrose; TGS; Splenda (McNeil Nutritionals).
C12H19Cl3O8; mol wt 397.63.
C 36.25%, H 4.82%, Cl 26.75%, O 32.19%.

Description and references

Chlorinated sucrose derivative with enhanced sweetness. Prepn: P. H. Fairclough et al., Carbohydr. Res. 40, 285 (1975). Prepn of crystalline anhydrous and pentahydrate: M. R. Jenner, D. Waite, EP 30804 (1981 to Tate & Lyle; Talres Dev.); eidem, US 4343934 (1982 to Talres Dev.). Use as non-nutritive sweetener: BE 850180; L. Hough et al., US 4435440 (1977, 1984 both to Tate & Lyle). In vitro activity vs cariogenic bacteria: J. Verran, D. B. Drucker, Arch. Oral Biol. 27, 693 (1982). Structure-sweetness relationship: M. Mathlouthi et al., Carbohydr. Res. 152, 47 (1986). Review: L. Hough, R. Khan, Trends Biochem. Sci. 3, 61-63 (1978).

Chemical structure

Properties

Syrup, [α]D +68.2° (c = 1.1 in ethanol). Anhydrous crystalline form: orthorhombic, needle-like crystals, mp 130°. Intensely sweet taste.

Derivative

Pentahydrate.

Properties

mp 36.5°.