9034. Talaporfin

Nomenclature

CAS number: 110230-98-3
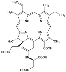
N-[[(7S,8S)-3-Carboxy-7-(2-carboxyethyl)-13-ethenyl-18-ethyl-7,8-dihydro-2,8,12,17-tetramethyl-21H,23H-porphin-5-yl]acetyl]-l-aspartic acid; (2S,3S)-18-carboxy-20-[N-(S)-1,2-dicarboxyethyl]carbamoylmethyl-13-ethyl-3,7,12,17-tetramethyl-8-vinylchlorin-2-propanoic acid; mono-l-aspartyl chlorin e6; NPe6.
C38H41N5O9; mol wt 711.76.
C 64.12%, H 5.81%, N 9.84%, O 20.23%.

Description and references

Semisynthetic derivative of chlorin e6, q.v. Photosensitizer activated at 664 nm by laser or light-emitting diode-based light infusion device. Causes irreversible tumor blood vessel closure. Prepn: J. C. Bommer, B. F. Burnham, EP 168831; eidem, US 4675338 (1986, 1987 both to Nippon Petrochemicals). Photophysical properties: J. D. Spikes, J. C. Bommer, J. Photochem. Photobiol. B 17, 135 (1993); L. Li et al., ibid. 67, 51 (2002). Chemical and NMR structural studies: S. Gomi et al., Heterocycles 48, 2231 (1998). Safety assessment in treatment of refractory solid tumors: R. A. Lustig et al., Cancer 98, 1767 (2003). Clinical evaluation in lung cancer: H. Kato et al., Lung Cancer 42, 103 (2003).

Chemical structure

Properties

Dark blue-green powder. Sol in water. Absorption max (phosphate buffer, pH 7.4): 400, 654 nm (ε 180000, 40000). Absorption max (p-dioxane): 401.7, 663.5 nm (EmM 111, 38). Hygroscopic and light sensitive. Store under vacuum; protect from light.

Derivative

Tetrasodium salt.

Nomenclature

CAS number: 220201-34-3
Talaporfin sodium; LS-11; ME-2906; Laserphyrin (Meiji).
C38H37N5Na4O9; mol wt 799.69.
C 57.07%, H 4.66%, N 8.76%, Na 11.50%, O 18.01%.

Therapeutic Category

Antineoplastic (photosensitizer).

Keywords

Antineoplastic (Photosensitizer)