9101. Technetium 99mTc Mertiatide

Nomenclature

CAS number: 125224-05-7; 104348-91-6
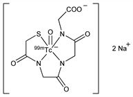
(SP-5-25)-[N-[N-[N-(Mercaptoacetyl)glycyl]glycyl]glycinato(5)-N,N′,N″,S]oxotechnetate(2)-99mTc disodium; 99mTc-MAG3; 99mTc mercaptoacetyltriglycine; TechneScan MAG3 (Mallinckrodt).
C8H8N3Na2O6S99mTc.

Description and references

Nonisomeric mercaptide compound complexed with technetium; radioactive renal function imaging agent. Prepn and biodistribution: A. R. Fritzberg et al., J. Nucl. Med. 27, 111 (1986); idem et al., EP 284071 (1988 to Neorx). Stability and HPLC determn of radiochemical purity: A. M. Millar et al., Nucl. Med. Commun. 11, 405 (1990). Clinical pharmacokinetics: B. Bubeck et al., J. Nucl. Med. 31, 1285 (1990). Diagnostic use in captopril renography: I. E. Datseris et al., ibid. 35, 251 (1994); in renal transplant evaluation: J. P. O'Malley et al., Clin. Nucl. Med. 18, 22 (1993). Review of synthesis and diagnostic use: D. Eshima, A. Taylor, Jr., Semin. Nucl. Med. 22, 61-73 (1992).

Chemical structure

Therapeutic Category

Diagnostic aid (radioactive imaging agent).

Keywords

Diagnostic Aid (Radioactive Imaging Agent)