9102. Technetium 99mTc Sestamibi

Nomenclature

CAS number: 109581-73-9
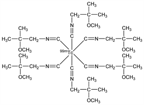
(OC-6-11)-Hexakis(1-isocyano-2-methoxy-2-methylpropane)technetium(1+)-99mTc; hexakis(2-methoxy-2-methylpropyl isocyanide)[99mTc] technetium(1+); 99MTc hexakis(2-methoxyisobutylisonitrile); 99mTc-HEXAMIBI; 99mTc-MIBI; 99mTc-RP-30A; Cardiolite (DuPont).
C36H66N6O699mTc.

Description and references

Lipophilic, cationic isonitrile compound complexed with technetium; radioactive myocardial perfusion imaging agent. Prepn: P. L. Bergstein, N. Subramanyam, EP 233368 (1987 to Du Pont); P. Angelberger, E. Zbiral, Oesterr. Forschungszent. Seibersdorf 4411, I (1987). Preparative TLC purification: A. Proulx et al., Appl. Radiat. Isot. 40, 95 (1989). Biodistribution and comparative clinical evaluation as myocardial perfusion imaging agent: F. J. Th. Wackers et al., J. Nucl. Med. 30, 301 (1989). Clinical evaluation as parathyroid imaging agent: A. J. Coakley et al., Nucl. Med. Commun. 10, 791 (1989). Symposium on pharmacology and clinical studies: Am. J. Cardiol. 66, 1E-96E (1990). Review of cardiac imaging: J. A. Leppo et al., J. Nucl. Med. 32, 2012-2022 (1991).

Chemical structure

Therapeutic Category

Diagnostic aid (radioactive imaging agent).

Keywords

Diagnostic Aid (Radioactive Imaging Agent)