9231. Tetrandrine

Nomenclature

CAS number: 518-34-3
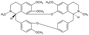
(1β)-6,6′,7,12-Tetramethoxy-2,2′-dimethylberbaman.
C38H42N2O6; mol wt 622.75.
C 73.29%, H 6.80%, N 4.50%, O 15.41%.

Description and references

Analgesic and antipyretic alkaloid from root of Stephania tetrandra S. Moore, Menispermaceae. Isoln: Kondo, Yano, Ann. 497, 90 (1932). Structure: Fujita, Murai, J. Pharm. Soc. Jpn. 71, 1039 (1951). Synthesis: Kataoka, C.A. 51, 16501i (1957). Total synthesis: Inubushi et al., Tetrahedron Lett. 1968, 3399; eidem, J. Chem. Soc. C 1969, 1547. Present in the Chinese drug han-fang-chi.

Chemical structure

Properties

Needles. mp 217-218°. [α]D26 +252.4° (chloroform). Practically insol in water, petr ether; sol in ether and some other organic solvents.

Derivative

l-Form.

Nomenclature

CAS number: 1263-79-2
Phaenthine.

Properties

mp 210°. [α]D20 -278° (chloroform).