9244. Tetrazolium Blue

Nomenclature

CAS number: 1871-22-3
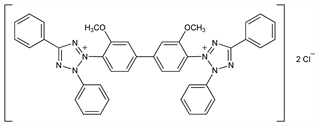
3,3′-(3,3′-Dimethoxy[1,1′-biphenyl]-4,4′-diyl)bis[2,5-diphenyl-2H-tetrazolium] dichloride; 3,3′-dianisolebis[4,4′-(3,5-diphenyl)tetrazolium chloride]; blue tetrazolium; dimethoxy neotetrazolium; ditetrazolium chloride; BT.
C40H32Cl2N8O2; mol wt 727.64.
C 66.03%, H 4.43%, Cl 9.74%, N 15.40%, O 4.40%.

Description and references

Prepn: A. M. Rutenburg et al., Cancer Res. 10, 113 (1950); L. J. Pannone, J. B. Rust, US 2713581 (1955 to Montclair Res. Corp. and Ellis-Foster Co.).

Chemical structure

Properties

Lemon-yellow crystals, dec 242-245°. Freely sol in methanol, ethanol, chloroform. Slightly sol in water. Insol in ethyl acetate, acetone, ether. Reduction potential about -0.08 volt. Yields a dark blue diformazan pigment in the presence of a reducing agent.

Use

For research in seed germination, as stain for bacteria and molds, in histochemical studies, to demonstrate oxidation-reduction enzymes in normal and cancerous tissues. See also Triphenyltetrazolium Chloride.