9288. Thevetin A

Nomenclature

CAS number: 37933-66-7
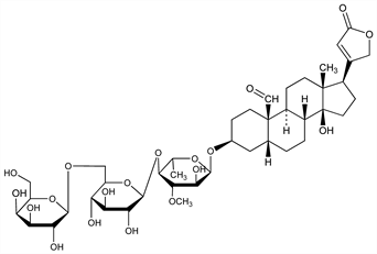
(3β,5β)-3-[(O-β-d-Glucopyranosyl-(1→6)-O-d-glucopyranosyl-(1→4)-6-deoxy-3-O-methyl-α-l-glucopyranosyl)oxy]-14-hydroxy-19-oxocard-20(22)-enolide.
C42H64O19; mol wt 872.95.
C 57.79%, H 7.39%, O 34.82%.

Description and references

Glycoside isolated from Thevetia neriifolia Juss., Apocynaceae: Bloch et al., Helv. Chim. Acta 43, 652 (1960). Separation from thevetin B: Delalande, Baisse, US 3030355; US 3043829 (1962). Structure: K. Tori et al., Tetrahedron Lett. 1977, 717.

Chemical structure

Properties

Crystals from water. mp 208-210°. [α]D24 -72.0 ±1.5° (c = 1.48 in methanol).

Derivative

Acetyl deriv.
C58H80O27; mol wt 1209.24.
C 57.61%, H 6.67%, O 35.72%.

Properties

Crystals from methanol + ether, mp 143-149°. [α]D26 -54.2 ±1° (c = 1.86 in chloroform).