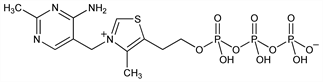
9298. Thiamine Triphosphate

Nomenclature

CAS number: 3475-65-8
3-[(4-Amino-2-methyl-5-pyrimidinyl)methyl]-4-methyl-5-(4,6,8,8-tetrahydroxy-3,5,7-trioxa-4,6,8-triphosphaoct-1-yl)thiazolium inner salt P,P′,P″-trioxide; thiamine triphosphoric acid ester; TTP.
C12H19N4O10P3S; mol wt 504.29.
C 28.58%, H 3.80%, N 11.11%, O 31.73%, P 18.43%, S 6.36%.

Description and references

One of the bioactive forms of thiamine; concentrated in neurons and in excitable tissues such as skeletal muscle. Believed to have a noncofactor role in nerve function. Prepn: L. Velluz et al., Bull. Soc. Chim. Fr. 15, 871 (1948); Roux et al., Bull. Soc. Chim. Biol. 30, 592 (1948); M. Viscontini et al., Helv. Chim. Acta 32, 1478 (1949). Relation to thiamine diphosphate: L. Velluz et al., J. Biol. Chem. 180, 1137 (1949). Identification in rat liver: A. Rossi-Fanelli et al., Science 116, 711 (1952). Biosynthesis by baker's yeast: K.-H. Kiessling, Nature 172, 1187 (1953). Enzymatic synthesis: J. R. Cooper, K. Nishino, Methods Enzymol. 122, 24 (1986). Chromatographic determn in brain extracts: J. R. Cooper, T. Matsuda, ibid. 20. Review of metabolism, tissue distribution and potential neurophysiological role: J. R. Cooper, J. H. Pincus, Neurochem. Res. 4, 223-239 (1979); L. Bettendorff, Metab. Brain Dis. 9, 183-209 (1994).

Chemical structure

Derivative

Hemihydrate.

Properties

Very hygroscopic, rhomb-shaped microcrystals from water-alcohol-acetone, dec 228-232°. Freely sol in water. Insol in the usual organic solvents.