9428. Ticarcillin

Nomenclature

CAS number: 34787-01-4
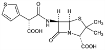
(2S,5R,6R)-6-[[(2R)-Carboxy-3-thienylacetyl]amino]-3,3-dimethyl-7-oxo-4-thia-1-azabicyclo[3.2.0]heptane-2-carboxylic acid; N-(2-carboxy-3,3-dimethyl-7-oxo-4-thia-1-azabicyclo[3.2.0]hept-6-yl)-3-thiophenemalonamic acid; 6-[d()-α-carboxy-3-thienylacetamido]penicillanic acid; α-carboxy-3-thienylmethylpenicillin.
C15H16N2O6S2; mol wt 384.43.
C 46.86%, H 4.20%, N 7.29%, O 24.97%, S 16.68%.

Description and references

Broad spectrum semi-synthetic antibiotic related to penicillin. Prepn: BE 646991; E. G. Brain, J. H. Nayler, US 3282926 (1964, 1966 to Beecham Group Ltd.). In vitro studies: H. C. Neu, E. B. Winshell, Antimicrob. Agents Chemother. 1970, 385; R. Sutherland et al., ibid. 390; N. J. Legakis, J. Papavassiliou, J. Antibiot. 28, 912 (1975). In vivo studies: P. Acred et al., Antimicrob. Agents Chemother. 1970, 396. Absorption and excretion: R. Sutherland, P. J. Wise, ibid. 402. Clinical pharmacology: V. Rodriguez et al., Antimicrob. Agents Chemother. 4, 31 (1973); R. D. Libke et al., Clin. Pharmacol. Ther. 17, 441 (1975). Review of pharmacology and therapeutic efficacy: R. N. Brogden et al., Drugs 20, 325-352 (1980).

Chemical structure

Derivative

Disodium salt.

Nomenclature

CAS number: 4697-14-7
BRL-2288; Monapen (Fujisawa); Ticar (GSK); Ticarpen (GSK); Ticillin (CSL).
C15H14N2Na2O6S2; mol wt 428.39.
C 42.06%, H 3.29%, N 6.54%, Na 10.73%, O 22.41%, S 14.97%.

Properties

Creamy-white hygroscopic non-crystalline powder. Readily sol in water (>100 g/100 ml water) giving a clear soln with pH between 6.0 and 8.0. Aq solns are relatively stable; acid solns relatively unstable (Sutherland).

Therapeutic Category

Antibacterial.

Therapeutic Category (Veterinary)

Antibacterial.

Keywords

Antibacterial (Antibiotics); β-Lactams; Penicillins