9490. Tobramycin

Nomenclature

CAS number: 32986-56-4
O-3-Amino-3-deoxy-α-d-glucopyranosyl-(1→6)-O-[2,6-diamino-2,3,6-trideoxy-α-d-ribo-hexopyranosyl-(1→4)]-2-deoxy-d-streptamine; 4-[2,6-diamino-2,3,6-trideoxy-α-d-glycopyranosyl]-6-[3-amino-3-deoxy-α-d-glycopyranosyl]-2-deoxystreptamine; nebramycin factor 6; NF 6; Tobracin (Shionogi); Tobralex (Alcon); Tobramaxin (Alcon); Tobrex (Alcon).
C18H37N5O9; mol wt 467.51.
C 46.24%, H 7.98%, N 14.98%, O 30.80%.

Description and references

Aminoglycoside antibiotic; component of the nebramycin complex produced by Streptomyces tenebrarius. See also apramycin. Series of articles on isolation, separation and evaluation of the nebramycin complex: Antimicrob. Agents Chemother. 1967, 314-348. Elucidation of structure: K. F. Koch, J. A. Rhoades, Antimicrob. Agents Chemother. 1970, 309. Synthesis: Y. Takagi et al., Bull. Chem. Soc. Jpn. 49, 3649 (1976); M. Tanabe et al., Tetrahedron Lett. 1977, 3607. Toxicology: J. S. Welles et al., Toxicol. Appl. Pharmacol. 22, 332 (1972). Comprehensive description: A. K. Dash, Anal. Profiles Drug Subs. Excip. 24, 579-613 (1996). Clinical trial in cystic fibrosis patients: B. W. Ramsey et al., N. Engl. J. Med. 340, 23 (1999). Review of clinical experience: H. Lode, Curr. Ther. Res. 59, 420-453 (1998).

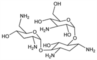
Chemical structure

Properties

Basic substance. Freely sol in water (1 in 1.5 parts). Very slightly sol in ethanol (1 in 2000 parts). Practically insol in chloroform, ether. [α]D20 +129° (c = 1 in water). LD50 in mice, rats (mg/kg): 441, 969 s.c. (Welles).

Derivative

Sulfate.

Nomenclature

CAS number: 79645-27-5
Gernebcin (Lilly); Nebcin (Lilly); Nebicina (Lilly); Obracin (Lilly); Tobra (Lilly); Tobradistin (Dista).

Therapeutic Category

Antibacterial.

Keywords

Antibacterial (Antibiotics); Aminoglycosides